The Physics of Transcendence
If you read this contactee encounter you’ll note that being in the presence of an alien that pumps out intense etheric energy has an induction effect upon the abductee, causing the abductee to likewise glow brighter, and which induces a shift in consciousness toward a more expansive state of mind. Well, a global etheric energy event would do the same to the population, forcing a shift in perception. This includes being able to remember past lives and other suppressed knowledge, including knowledge implanted and encrypted in one’s energy field during a lifetime of abductions.
Therefore if the ambient etheric energy concentration were to suddenly rise, we would indeed see major change take place. It would be like the tide coming in and fish formerly flopping about and gasping, suddenly being able to swim.
Introduction
What does the Shift entail? As best as I can tell, it is an ungluing of our consensual collective reality so that the dissonant sectors of the population can diverge onto separate time streams, and then into separate realms of existence altogether. It is a higher degree expression of the same Realm Dynamics underlying our daily experiences. At the moment we all share the same planet, and separation among people of incompatible learning paths amounts to geographic separation at best, but more usually involves a simple synchronistic barrier between them so that they rarely cross paths in life. But as the polarization increases and the repulsive tension between dissonant population sectors grow, and as conditions on this planet increasingly leave less room for everyone’s freewill to be accommodated in the same space and time, there will be increasing pressure for more extreme means of separation. According to Realm Dynamics, what begins as mere dislike between individuals can grow to parting of ways, a parting of timelines, and finally parting of dimensions. It is cellular mitosis on the hyper dimensional scale.
What causes the Shift? Why is it cyclical? Why does it relate to astronomical alignments? It may be that our solar system will be passing through a region of spacetime whose conditions vary greatly from our current region. Or perhaps rather than our going toward it, it is coming toward us. Either way, it is worth hypothesizing what physical mechanism could substantiate the Shift.
It’s possible that radiating outwardly from the galactic center are spiral arms of greatly altered gravitational potential. As our solar system moves around the galactic center, it will cyclically enter and exit these spiral arms so that all planets and the Sun experience a simultaneous change in their gravitational potential. Others may have hypothesized similarly, but in this article I will follow this concept through to its logical conclusion and show you why the implications profoundly explain everything we can confidently say concerning the Shift.
General Relativity: Reaching the Portal Threshold
The galactic center is a super massive black hole, and black holes are exits from our universe. To understand black holes, one must first understand gravity. All masses give off gravitational force fields that cause other masses to fall towards them and vice versa. But underlying this field is a more fundamental field known as the gravitational potential. To make an analogy, if the gravity force field is like the downward slope of a hill, then gravitational potential is the measure of height at any point on that slope. Or if the force field is like wind, the potential is like air pressure. It takes changes in gravitational potential over some distance to produce a gravitational force field, just as it takes changes in height to make a slope that things can roll down, or changes in air pressure to create wind. On Earth, each height above the surface (or distance from planetary center) carries a different gravitational potential, which creates a “slope” pointing downward (to the center) causing objects to fall if released.
It is evident from Einstein’s Theory of General Relativity that the gravitational potential also sets the rate of time and scale of space. Clocks run slower and vertical rulers are shorter at lower altitudes because the gravitational potential is stronger there. A black hole is so compact and massive that its gravitational potential some distance away is already strong enough to slow time to a stop and shrink a dimension of space to zero. That distance is known as the event horizon, or the Schwarzschild radius. From our perspective, an object entering the event horizon will appear frozen in time, while the object itself is instantly propelled toward eternity and either ejected out of our physical universe or destroyed in the process.
Anyone entering a black hole will most likely be smushed to death because the changes in gravitational potential near the event horizon are so steep that the associated forces are too much to bear. But remember that it is the gravitational potential itself, and not the force field, that slows time and shrinks space. Therefore it is possible to have the same spacetime bending effects without any dangerous forces if the gravitational potential, despite being intense, varies very little within a given volume of space. It would be like a region of high air pressure without any wind. So as long as the spatial gradient in the gravitational potential is negligible, the potential itself can vary freely without accompanying forces.
Where things get interesting is what happens beyond the event horizon, or to put it another way, beyond the value of gravitational potential necessary to stop time. General Relativity has an equation showing how the gravitational potential determines time dilation:

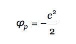
As you can see, the more negative the gravitational potential, the greater the dilated time. Upon reaching a critical value, the potential causes the dilated time to become infinite, meaning that from our perspective the affected clock would take forever to reach the next second. In other words, that is when its time rate slows to zero. This critical value of potential may be called the portal condition:

The portal condition is found precisely at the event horizon of a black hole, but can exist elsewhere in gradient-free and thus force-free form. If the potential grows even more negative than the portal condition, then not only does the time rate shrink to zero, but it actually becomes imaginary. Unlike real quantities which are multiples of one, imaginary quantities are multiples of the square root of negative one, which in practical terms means “an impossibility in one dimension made possible in another.” What we know as everyday linear time is real time. Imaginary time can vary without a single second of real time ticking by, and so it is the only time that continues to exist after one crosses the portal threshold.
Quantum Physics: Beyond the Portal Threshold
Crossing the portal threshold is equivalent to breaking the speed of light, but without moving an inch. It ejects one from real spacetime into imaginary spacetime, which is called hyperspace according to physics, timespace according to the Ra Material, and antimatter or etheric universe according to the Cassiopaeans. If linear time (real time) is really a loop, then crossing zero time and entering hyperspace would mean exiting from that loop. From there, other loops would become open to exploration. These would be parallel timelines.
After one crosses the portal threshold, how does one navigate, where does one go? This is where Relativity leaves off and quantum physics steps in. When time rate is reduced to zero, there is no longer a difference between cause and effect. Rather these exist as a single state from start to finish, simultaneous and overlapping, like a movie reel just sitting there. These are causal or deterministic sequences, meaning sequences where cause leads to a predictable effect without any surprises on the way. Such surprises are called quantum choice points, places where time branches onto any number of alternate possibilities. These represent nondeterministic events whereby consciousness alone chooses from a multiple set of “movie reels” which one to play next. This choice is represented in quantum mechanics as a particular “quantum phase,” a single angle of alignment or position along the quantum wave function. What is the wave function? Unlike particles, which exist as tangible things in a single universe, a wave function is the collection of this particle’s possible states as existing across all its parallel universes simultaneously. When consciousness observes a wave function, it automatically selects from the wave a single phase to lock onto and turn into an tangible possibility to experience.
So after entering hyperspace, it is imaginary time and the fundamental quantum phase (perhaps they are the same thing) that provide the primary measure markers of navigation. After entering hyperspace, consciousness can automatically phase-lock onto the linear timeline of choice and emerge into it by punching back through the portal threshold into real spacetime.
The Shift as Macroscopic Quantum Wave Expansion
Now, what does this have to do with the Mayan Calendar? Possibly everything. The hypothesis given here is that the galactic center radiates waves or spiral arms of altered gravitational potential. According to the unified field theory, there are a variety of mechanisms to generate such waves. Whatever the mechanism, if the solar system undergoes a gravitational potential change that exceeds the portal condition, our reality would literally become unglued.
See, the reason we are currently sharing the same planet on the same timeline is because we are all phase-locked onto the same fundamental quantum phase and thus the same primary reality. Our individual instances of reality are bound together because we are collectively stuck at the bottom of the same gravitational potential well, like marbles piled together at the bottom of a depression in a rubber sheet. Incidentally, the portal threshold is the amount of potential required to overcome the potential well of the entire physical universe. If the marbles were elevated beyond the lip of the depression they could escape, and likewise if we experienced a boost in our gravitational potential, our collective reality would dissolve. And that is exactly what would happen if we passed through an sufficiently altered region of spacetime, or if a gravitational potential wave passed through us. I believe this is the key mechanism behind the Shift.
Let’s say there were a cataclysmic alteration of our gravitational potential to the point where everything opens up. Then anything would go, anything is possible, future and past merge into a single moment of eternity, spacetime blows up into infinity, and consciousness is blasted into hyperspace. In the years leading up to this point, reality would simply become more plastic and responsive to our consciousness due to the changed gravitational potential loosening things up, but after that point reality would dissolve entirely. And after being tossed into hyperspace, consciousness would simply phase-lock onto whatever reality befits it. Far from being New Age speculation, this follows directly from a creative application of quantum and relativistic physics.
So what the Shift really means in this context is the unlocking of the gravitational chains that bind us to each other, so that a natural sorting or resettling process can occur where individuals can diverge onto new realities that best fit their own spiritual needs, realities that best resonate with their own quantum phase spectrum. The latter part is properly called a “macroscopic quantum wave collapse” — which is a term others have previously used, but here I tell you that this is only half the equation. The other half is meeting the portal threshold in the first place, which is the only way a tangible reality can be “uncollapsed,” and that requires a gravitational potential wave whose peak amplitude is beyond the portal threshold. Put another way, the Shift is a macroscopic quantum wave expansion followed by a macroscopic quantum wave collapse. It is the opening and closing of the door to our reality. The Sampo grinds once more!
What happens afterward depends on the individual in question. Those of the least spiritual polarization and awareness may, like birds too young to fly being tossed into the air, fall immediately back into a limited linear timeline without remembering anything different. Our memories are part of the linear timeline and change along with any alterations to that timeline. Others may have gained sufficient personal energy and spiritual polarization to no longer be stuck inside gravitational potential wells, giving them a new degree of freedom to enter and exit timespace / hyperspace at will. That level of existence is called “fourth density” but here I wish to give a technical hypothesis of what that really means: total quantum phase freedom and conscious navigation through imaginary time.
The Future in Your Hands
Ultimately this means that where (and when) we end up depends on where we need to end up, on the culmination of our spiritual choices in life, and on what resonates most with our soul natures, because it is these that determine what realities we access after entering hyperspace.
That’s why it’s incredibly unrealistic to say that a Shift would mean everyone on Earth is guaranteed to ascend to a higher level. That scenario would violate the freewill of those not ready and encourage passivity since, with ascension being guaranteed, all one needs to do is sit around and wait until it comes, which is no different from the Christian Rapture or other doomsday lifestyles that promote passively waiting for the end. As far as the common criticism goes that even the kind of Shift mentioned in this article is no different from Rapture theories since it deals with a “grand event” that leads to a “judging of people” — keep in mind that the criteria for the sorting process discussed here is based entirely on freewill and spiritual necessity rather than some backwards moralistic dogma, and that the only ones doing the judging are the individuals themselves (or rather their own higher selves).
Realm Dynamics explains why the principles underlying the Shift are the same ones active at a lower degree in our lives everyday. If you want to know what your quantum phase resonance is, look at the kind of experiences you are attracting right now. What is the “theme” of your life experiences? Are you madly clambering for material satisfactions, stepping over others to attain your ambitions? Do you constantly suffer misfortune after misfortune, hostility, and persecution? Or do you strive for greater awareness and balance, with your life having its regular share of miracles? There are a thousand further questions, but these should get you thinking.
To vector onto the optimal reality trajectory, it takes a combination of optimal attitude, awareness, and action. More on these in another future article, but see my research note on attitude vs awareness. The greater your awareness, the more harmonious your attitude, and the more responsible your actions, the more you resonate with positive probable futures. Leave one of these out and the triad is broken, imbalance arises, and problems inevitably creep in.
I believe that if we do our part to empower ourselves, assist others in need, and continually reinforce the connection with our inner voice of intuition and spiritual conscience, we will ever come closer to remembering who we are and why we are here. With this “blueprint” of higher awareness fully activated in our souls, what precipitates from the hyperdimensional state is a new reality in full harmony with that blueprint.


